东海县2018年国家农业综合开发土地治理项目
一至八标段招标公告
(项目编号:DHNKT-201801-08)
东海县2018年国家农业综合开发土地治理项目已经连云港市农业资源开发局、连云港市财政局以“连农开〔2018〕24号、连财农〔2018〕21号”文批准建设,招标人为东海县农业资源开发局,招标代理人为江苏阳光豫信建设投资咨询有限公司。已具备招标条件,现进行公开招标,欢迎具备资格条件的施工企业参加投标。
一、项目名称:
东海县2018年国家农业综合开发土地治理项目。
二、工程项目概况及招标范围:
东海县2018年国家农业综合开发土地治理项目共划分为二十二个标段,即一标段、二标段、三标段、四标段(张湾乡高标准农田建设项目马墩、营屯);五标段、六标段、七标段、八标段(张湾乡高标准农田建设项目印屯、瓦口);九标段、十标段、十一标段、十二标段(平明镇高标准农田建设项目);十三标段、十四标段、十五标段、十六标段(房山镇高标准农田建设项目);十七标段、十八标段、十九标段、二十标段(青湖镇高标准农田建设项目);二十一标段、二十二标段(驼峰乡高标准农田建设项目)。计划安排实施的主要内容为:农田水利工程、田间道路工程。
注:符合资格条件的投标人可同时对上述22个标段进行投标报名,但最多只能中1个标段。本项目评标按一标段至二十二标段的顺序进行,如果投标人已在先评的某个标段中已确定为第一中标候选人,在后续标段中则不再参加评审。若第一中标人被投诉,经查实取消中标资格,则本标段作流标处理,重新招标。
1、本次江苏阳光豫信建设投资咨询有限公司只对东海县2018年国家农业综合开发土地治理项目其中一、二、三、四、五、六、七、八标段进行招标,1-4标段建设地点位于张湾乡马墩村、营屯村,5-8标段建设地点位于瓦口村、印屯村,总投资约2600万元,每个标段约330万元,具体详见招标文件及工程量清单,各标段主要建设内容如下:
施工1标段:衬砌渠道4.795km,农桥1座,涵洞10座,渡槽1座,放水口109座,田间道路工程4.955km等工程;
施工2标段:泵站1座,斗渠4.495km,节制闸6座,涵洞12座,渡槽1座,分水口1座,田间道路工程4.03km等工程;
施工3标段:泵站1座,衬砌渠道3.805km,农桥4座,闸4座,涵洞14座,渡槽4座,分水口1座,田间道路工程3.88km等工程;
施工4标段:衬砌渠道4.955,农桥6座,节制闸4座,涵洞9座,渡槽4座,渠系建筑物29座,田间道路工程2.495km等工程;
施工5标段:泵站1座,衬砌渠道7.82km,农桥1座,闸2座,涵洞15座,渡槽1座,放水口40座,道路工程4.025km等工程;
施工6标段:衬砌渠道6.013km,农桥3座,闸2座,涵洞20座,渡槽4座,放水口15座,分水口2座,道路工程3.39km等工程;
施工7标段:泵站2座,衬砌渠道5.435km,农桥3座,闸4座,涵洞18座,渡槽4座,放水口30座,分水口1座,道路工程3.69km等工程;
施工8标段:衬砌渠道6.125km,生产桥6座,闸4座,涵洞7座,渡槽6座;道路工程2.7km等工程。
2、工期要求:2019年5月20日完成全部建设内容。
3、工程质量要求:符合国家、省现行农开项目验收规定和水利工程相关规范、规定及规程要求的合格标准。
三、投标报名资格条件
1、申请人资质类别和等级:具备水利水电工程施工总承包三级及以上资质,且具有有效的安全生产许可证;
2、投标项目负责人须具备水利水电工程专业贰级及以上注册建造师资格;且具备有效的安全生产考核合格证(B类);投标人提供项目负责人在本单位缴纳社会保险证明(2018年3月至2018年8月);
3、扣除所承担的其他合同占用的资金并且不考虑本合同可能支付的预付款的情况下,用于本合同项目的流动资金应不少于100万元(自投标人报名之日起至本项目投标有效期结束,账户余额每天均不少于100万元,提供企业基本户开户许可证及银行流水证明及授权证明书(见附件1));
4、本工程执行苏清办[2010]13号、连清欠办[2010]4号、苏清办[2011]13号、连清办[2011]9号、苏清办[2012]14号、连清办[2013]6号文、连清办[2014]4号文、连清办[2014]16号文、连清办[2015]9号文、连清办[2015]6号文、连清办[2015]15号文、苏清办[2016]7号文、苏清办[2018]6号、连清办[2018]5号文等,凡是出现在上述文件中的投标单位和项目负责人,且未解禁的报名时将不予受理。
5、本次招标拒绝联合体投标。
四、资格审查办法
本工程采用资格后审方式,资格审查具体内容详见招标文件。
五、其他要求
1、招标人谢绝挂靠单位参与本工程的投标。如在招投标过程中发现以他人名义投标并中标的,将取消其中标资格,没收其全部投标保证金等。同时招标人将对投标人进行考察、了解。如发现挂靠单位报名或资格不能满足本次招标要求的,将取消其投标资格。中标后一经核实为挂靠的,将被取消中标资格,并按相关规定进行处罚,直至建议有关部门吊销资质证书。
2、投标保证金必须从企业的法人基本存款账户缴纳。以个人、企业的办事处、分公司、子公司名义或从他人账户、投标人企业的其他账户缴纳的投标保证金无效。
3、贯穿工程整个招投标活动始终,一旦发现有虚假行为,招标人立即中止该投标人的投标活动,并上报相关主管部门追究其责任。
4、申请人不得存在下列情形之一:
①为招标人的附属机构(单位);
②为本标段前期准备提供设计或咨询服务的,但设计施工总承包的除外;
③为本标段的监理人、代建人、项目管理人,或者为本标段提供招标代理服务的;
④与本标段的监理人或代建人或项目管理人或招标代理机构同为一个法定代表人的、相互控股或参股的、相互任职或工作的;
⑤与招标人存在利害关系可能影响招标公正性的法人、其他组织或者个人的。
六、评标办法
本工程采用的评标办法为综合评估法。
七、有下列行为之一的投标人,本工程不接受其参加投标:
1、有违反法律、法规行为,依法被取消投标资格且期限未满的;
2、因招投标活动中有违法违规和不良行为,被有关招投标行政监督部门公示且公示期未满的。
八、踏勘现场和投标预备会
招标人不组织踏勘现场和投标预备会。投标人可根据需要自行踏勘现场,投标人无论考察与否,都将被视为已经对本项目的总体情况、工作难度、条件及当地的有关情况获得了解,并且认为投标人已充分了解了自己中标后有可能承担的风险、责任和义务,本招标文件不再对上述情况进行描述;现场考察的费用由潜在投标人自行负担。
九、投标报名及获取招标文件方法
1、各投标单位经办人必须是法定代表人或其授权委托代理人,招标投标的每个环节,必须出示身份证原件。
2、凡有意参加投标并符合资格要求者,请于2018年9月6日至2018年9月13日(上午8:30~12:00,下午15:00~18:00),节假日不接受报名;携带下列资料前来报名并购买招标文件:(1)单位介绍信或授权委托书;(2)经办人身份证原件及复印件和授权证明书(见附件1);(3)经办人及项目负责人社保缴费证明(2018年3月至8月,加盖社保中心章或社保中心参保缴费证明电子专用章);(4)营业执照副本;(5)资质证书副本;(6)安全生产许可证副本;(7)企业开户许可证;(8)项目负责人注册证书及安全生产考核B类证;(9)银行流动资金证明;
注:以上材料第(1)(2)(3)项提供原件留存,其他均提供加盖单位公章的复印件1份。
3、报名地点:东海县公共资源交易中心报名并购买招标文件。
4、招标文件每标段售价500元,售后不退。
十、投标文件递交截止时间及地点
1、投标文件递交截止时间:2018年9月27日9时30分
2、地点:东海县公共资源交易中心五楼开标室。
3、开标时间及地点同投标文件递交截止时间及地点。
十一、组建项目部
中标单位签订合同3日内,提交开工申请资料,10日内必须组建项目部并开工建设,10日内未组建项目部,业主有权清退中标单位,造成的一切后果均由中标单位承担。投标文件中所列主要管理人员(项目负责人、技术负责人、专职安全员)必须驻场。
十二、发布公告的媒介
本次招标公告在东海县人民政府网站及连云港市公共资源交易中心网发布。
http://www.jsdh.gov.cn/dhxzf/xwpd/xwpd.html
http://spzx.lyg.gov.cn/TPFront/
联系方式
十三、招标人:东海县农业资源开发局
地址:东海县牛山镇牛山北路206号
联系人:吕浩
联系电话:0518-87796106
招标代理人:江苏阳光豫信建设投资咨询有限公司
地址:连云港市赣榆区新城区委党校行政楼1203-1205室
联系人:莫立清
联系电话:15261363965
附件一:
授权证明书
鉴于我公司投标东海县农业资源开发局的东海县2018年国家农业综合开发土地治理项目(以下简称本项目),根据本项目招标公告的内容,在扣除我公司所承担的其他合同占用的资金并且不考虑本合同可能支付的预付款的情况下,用于本项目的流动资金应不少于100万元,为此,我公司授权本项目业主东海县农业资源开发局或本项目招标代理单位江苏阳光豫信建设投资咨询有限公司在本项目投标报名之日起至本项目投标有效期结束日期间,可持本授权证明书至我公司基本账户开户行查询我公司银行资信状况,我公司保证为本项目投标及实施提供100万元流动资金,不论是否有其他项目影响,我公司保证用于本项目的流动资金不低于100万元,否则视为我公司违约,本项目业主有权取消我公司报名投标资格或中标资格。
为此,我公司已将本项目相关情况告知照会了我公司基本账户开户行相关负责人及业务代表,我公司保证配合业主或招标公司查询相关事项顺利进行。相关信息如下:
企业名称:
开户许可证号:
开户行:
账号:
开户行地址:
开户行负责人姓名:
联系电话:
开户行业务代表姓名:
联系电话:
投标人(章):
法人(签名):
日期:
附件二:评标办法附表
分值构成(总分100分)
一、投标报价:70分
二、不平衡报价分:5分
三、施工组织设计:20分
四、投标人业绩信誉:5分
一、投标报价(70分)投标价(算术修正后,下同)等于评标基准价的,得70分;投标价高于评标基准价的,每上浮一个百分点扣0.9分;投标价低于评标基准价的,每下浮一个百分点扣0.6分。
中间值按比例内插计算。保留两位小数,小数点后第三位数字“四舍五入”。最低得分为零分。
评标基准价计算方法
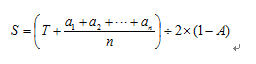
本工程采用评标基准价,评标基准价为
T为最高限价,有效标n>5时,为剔除投标人最高报价和最低报价后的各投标报价,n≤5时,无需剔除。)A为下浮系数,分别为1%、1.5%、2%,开标时由投标人代表现场随机抽取其中之一。
本工程设最高限价,投标报价高于最高限价的作无效标处理。
二、不平衡报价分(5分)若投标人的分项投标价有一项超出最高限价相应分项单价(±10%)的,扣5分。
三、施工组织设计(20分)投标文件无重大失误,该项最低不得低于14分
1、工场布置和临时设施设计(1.0分)工场布置合理0.5分;临时设施设计合理0.5分。有缺陷,酌情扣分。
2、施工围堰及降排水方案、措施(1.0分)方案合理、措施得当,得1.0分。有缺陷,适当扣分。
3、施工进度计划合理,工期保证措施(2.0分)。计划合理1.0分;措施可行1.0分。有缺陷,酌情扣分。
4、施工机具设备及劳动力配置(1.0分)施工机具、劳动力配置合理,能满足施工强度要求得1.0分。有缺陷,酌情扣分。
5、项目管理机构配置(1.0分)项目管理机构配置合理、有框图,得1.0分。有缺陷,适当扣分。
6、各分部分项工程施工工艺及质量保证措施(2.0分)施工工艺及质量保证措施合理可行,得2分。有缺陷,适当扣分。
7、混凝土工程施工方案及质量保证措施(1.5分)混凝土生产、浇筑工艺及组织合理,能满足施工需要并有保证混凝土内外质量的措施,得1.0分;有特殊要求部位方案合理,措施可行,得0.5分。有缺陷,适当扣分。
8、砌体及垫层施工方案及质量保证措施(1.0分)方案及措施合理可行,得1.0分,有缺陷,适当扣分。
9、机电及金属结构设备购置、安装调试方案及质量保证措施(1.0分)购置方案可行、质量保证措施合理,得0.5分;安装调试方案可行、质量保证措施合理,得0.5分。有缺陷,适当扣分。
10、工程原材料等抽检的方案及质量控制措施(1.0分)工程原材料(包括水泥、掺合料及外加剂等)、成品半成品、中间产品的合格性进行抽检的方案及质量控制措施合理,得1.0分。有缺陷,适当扣分。
11、质量保证体系及措施(1.0分)。质量保证体系健全得0.5分;质量保证措施可行得0.5分。有缺陷,酌情扣分。
12、安全生产、文明施工及环境保护方案(1.5分)。安全生产方案合理得0.5分;文明施工方案合理得0.5分;环境保证方案合理得0.5分。有缺陷,适当扣分。
13、项目负责人答辩(5.0分)。
回答问题准确,思路清晰,内容完整(最高得5分)。回答问题基本准确,思路基本清晰,内容基本准确(最高得3分)。回答问题一般(最高得2分)
四、投标人业绩和信誉(5分)
1、类似业绩:企业自2015年1月1日(以合同签订的时间为准)至2018年9月20日期间完成的类似工程(农田水利或土地治理工程或土地整理项目),合同造价200-300万元的项目,每个得0.5分;合同造价300万元及以上的项目,每个得1分(最高得2分,须提供中标通知书、施工合同、竣工验收证明原件,三证齐全缺一不可,原件不齐全不得分)。
2、企业社会信誉好(1分);(近三年内获市级以上“重合同守信用单位”证书得0.5分,只算一项,不累加,须提供证书原件);(银行资信3A证书或体系认证任选一项)得0.5分,只算一项,不累加,须提供证书原件)
3、企业财务资信、状况好,可提供充足的流动资金证明(2分)
企业基本账户银行存款余额不低于100万元,投标人自报名之日起至本项目开标日前3个工作日的企业基本账户银行往来资金证明(银行流水),由企业基本账户开户行提供,在此期间企业基本账户实时余额应连续不少于100万元,须出具银行对账单原件。(若投标人不提供银行流水或企业基本账户余额少于100万元,不得分)
注:本项目共分二十二个标段,符合资格条件的投标人可同时对二十二个标段进行投标报名,但最多只能中1个标段。本项目评标按一标段至二十二标段的顺序进行,如果投标人已在先评的某个标段中已确定为第一中标候选人,在后续标段中将不再参与评审。若第一中标人被投诉,经查实取消中标资格,则本标段作流标处理,重新招标。
